网站首页
|
网站地图
|
联系乐竞
网站首页
关于乐竞
乐竞产品
乐竞新闻
生产设备
乐竞工程
资质荣誉
企业文化
联系乐竞
企业邮箱
管材系列
FRPP/PP管材系列
PPH管材系列
PPR/PP-R管材系列
UHMWPE/PE管材系列
CPVC管材系列
PVDF管材系列
白PE管材管件
管件系列
FRPP/PP管件系列
PPH管件系列
UHMWPE/PE管件系列
CPVC管件系列
PVDF管件系列
玻璃钢复合管/管件系列
钢衬管道/管件系列
玻璃钢管件
阀门系列
隔膜阀系列
球阀系列
蝶阀系列
截止阀系列
止回阀系列
底阀
过滤器
液面计
视镜
板材系列
FRPP板材
PP板材
PPH板材
管道辅助材料系列
板材
KXTF-A型四氟橡胶复合补偿器(单鼓)
KXTF-B型四氟橡胶复合补偿器(双鼓)
F4波纹补偿器
管道胶水
波纹管
视盅/视镜系列
衬氟视盅
衬氟直通视镜
真空计量罐、贮罐
聚丙烯真空计量罐、贮罐
产品耐腐蚀性能表
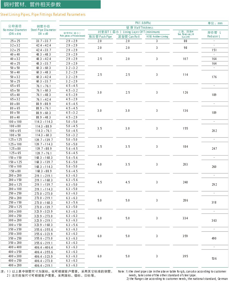
钢衬管道/管件系列
当前位置:
首页
>
乐竞产品
>
管件系列
>
钢衬管道/管件系列
>
衬里管子
点击图片进入详情
90°衬里弯头
点击图片进入详情
45°衬里弯头
点击图片进入详情
等径衬里四通管
点击图片进入详情
等径 异径衬里三通管
点击图片进入详情
衬里异径管
点击图片进入详情
首页
末页